La conservación de especies protegidas requiere más que saber dónde se encuentran. Es fundamental entender qué condiciones del entorno favorecen su presencia y reproducción a diferentes escalas espaciales. Para ello son muy útiles las metodologías basadas en Sistemas de Información Geográfica (SIG) y modelos de favorabilidad para analizar el hábitat de las distintas especies.
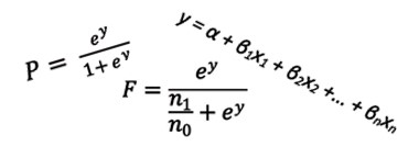
Los modelos tradicionales de distribución de especies pueden verse afectados por el desequilibrio entre los lugares donde se observa la especie y donde no. Para corregir este sesgo, se utiliza la función de favorabilidad, que permite identificar zonas con condiciones especialmente adecuadas para la especie, independientemente del número de observaciones. Este enfoque ofrece una visión más precisa del potencial ecológico de cada área.

En este caso, el análisis se ha basado en las presencias obtenidas en los censos anuales realizados por los Agentes del Medio Natural en Extremadura, centrados en la localización de nidos y el seguimiento reproductor de distintas especies de aves rapaces. Se han utilizado el análisis a tres escalas diferentes: paisaje, hábitat y nestsite.
Se han considerado más de 90 variables ambientales y antrópicas, agrupadas en categorías como: topografía, clima, uso del suelo, paisaje, vegetación o actividades humanas (caza, ganadería, infraestructuras, etc.). Todas ellas procesadas con herramientas SIG para asegurar una resolución espacial adecuada y homogénea.
El proceso comenzó analizando estas variables disponibles para ver si estaban relacionadas con la presencia o ausencia de nidos de diferentes especies de aves rapaces. Esto se hizo mediante una técnica llamada regresión logística binaria, que permite identificar qué factores tienen un impacto significativo.
Para evitar errores al trabajar con tantas variables, se aplicó un método estadístico llamado Tasa de Descubrimiento Falso (FDR), que ayuda a filtrar solo las variables realmente relevantes.
Con ese conjunto reducido de variables significativas, se construyó un nuevo modelo más preciso. Este modelo también se basó en regresión logística, pero esta vez se aplicó un procedimiento por pasos hacia adelante, que va incorporando las variables una a una según su importancia, hasta encontrar la mejor combinación.
El resultado fue una fórmula que permite calcular la probabilidad de presencia de la especie en función de los valores de las variables seleccionadas. Sin embargo, como esta probabilidad puede estar influida por el número de observaciones disponibles, se ajustó usando la función de favorabilidad, que ofrece un valor más fiable y comparable entre zonas.

Para comprobar la fiabilidad de estos análisis, se han aplicado varias pruebas estadísticas que evalúan si el modelo se ajusta bien a los datos reales. Se ha medido su capacidad para distinguir entre zonas con y sin presencia de la especie, y se ha comprobado cuántas veces acierta o se equivoca al clasificar una zona como favorable o desfavorable. Gracias a estos análisis, se ha podido identificar con mayor precisión qué áreas realmente favorecen la presencia de la especie y cuáles podrían estar sobreestimadas o subestimadas.
El uso de modelos de favorabilidad basados en SIG ofrece una herramienta poderosa para entender y proteger el hábitat de las distintas especies protegidas de Extremadura. Este enfoque permite tomar decisiones informadas, optimizar recursos y garantizar que las medidas de conservación se dirijan a las zonas que realmente lo necesitan.

Estos trabajos fueron parte del proyecto “Realización de actividades destinadas a establecer las bases de la estrategia de conservación de la biodiversidad en Extremadura”, desarrollado para la Junta de Extremadura. Lo hemos llevado a cabo desde el Grupo de Investigación en Biología de la Conservación de la Universidad de Extremadura, y se centra en el estudio de diversas especies emblemáticas de la región. El objetivo principal es generar conocimiento técnico y científico que sirva como base para diseñar estrategias eficaces de conservación adaptadas a las características y necesidades de cada especie.
Puedes ver aquí el resultado de estos análisis en las distintas monografías:
–El Águila perdicera (Aquila fasciata) en Extremadura.
–El Águila real (Aquila chrysaetos) en Extremadura.
–La Cigüeña negra (Ciconia nigra) en Extremadura.
–El Alimoche común (Neophron percnopterus) en Extremadura.
–El Buitre negro (Aegypius monachus) en Extremadura.
No puedo cerrar este post sin dar las gracias a Raimundo y Ana Luz de la Universidad de Málaga por abrirme los ojos a este mundo tan «favorable».

5 comentarios sobre “Cálculo de la favorabilidad de especies protegidas en Extremadura.”
Los comentarios están cerrados.